Chemical Engineering
Numerical Methods - Differentiation
Experiments
Aim
Theory
Pretest
Procedure
Simulation
Posttest
References
Contributors
Feedback
Aim
Theory
Pretest
Procedure
Simulation
Posttest
References
Contributors
Feedback
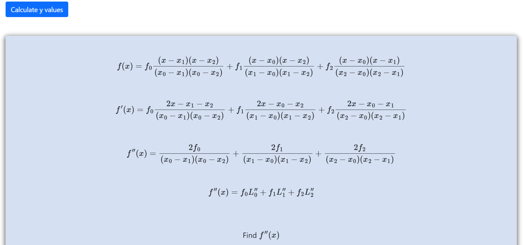
Differentiation - Method Based on Interpolation (Lagrange's Method)
STEP 1
STEP 2
STEP 3
STEP 4